“我想当拳师。”
“不,你不行。”
“是我的简介达不到要求吗?”
“不,冯沫,你是一名很优秀的学生。在今年所有报考的学生里,你也算很优秀啦。”
“我真的很想加入祭司学院,成为一名拳师。为了成为拳师,我查阅了大量资料,对拳师的部分技能体系进行了阐述,请允许我进行介绍。”
见面试教官点了点头,冯沫从面试袋中抽出了一份名叫《讨论拳师刺拳和漩涡重拳的形成机理》的资料。
“刺拳和漩涡重拳对拳师的重要性不言而喻。从技能的施放效果来看,两者都是施放后将处于普通状态的敌人吸附过来,在PK时拳师可以通过这两个技能的施放在拼招过程中获得胜利,从而获得起手的机会。
单论吸附效果,我讨论的角度是从空气压强出发的。众所周知,压强梯度会推动物体前往压强低的地方。举个例子,小时候喝完的塑料瓶饮料,拧上盖子以后,对整个塑料瓶进行拧压,会在塑料瓶内形成一处压强较高的空气,这个时候,如果拧动瓶塞,会bong~的一声,瓶塞极快的速度发射出去,这就是压强梯度对瓶塞的作用。
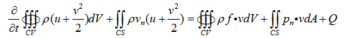
放在刺拳和漩涡重拳身上,空气作为流体,根据能量守恒定理,一般形式的能量方程,表示系统内的流体能量在流动过程中的时间变化率等于质量力功率、表面力功率和系统在单位时间内与外界交流能量之和。写成方程形式为:

经过化简,可以得到重力场中一维定常绝热流动积分形式的能量方程。即单位质量流体所具有的热力学能、动能、重力势能和PV值的和是定值。
再用气体焓代换热力学能,可以得到著名的伯努利方程,即单位质量动能、重力势能和PV值的和是定制。因此,我认为,当拳师出拳的速度足够快时,拳师的拳头与空气的靠近部分产生速度梯度,越靠近拳头空气速度越接近出拳速度,这些空气的压强就越小,相反离拳头越远的地方空气压强越大,那么由于压强梯度的推动,拳师施放刺拳和漩涡重拳时,乌拉乌拉后,距离拳师一定距离的敌人会往压强低的地方去,也就是拳师的位置,通过计算推动敌人的力和动量,可以计算出理想的出拳速度。这就是我对拳师刺拳和漩涡重拳形成原理,谢谢老师。”
“我很高兴你在未入学时就开始对职业者技能的施放机理进行研究,也很荣幸你研究的方向是拳师的刺拳和漩涡重拳。从机理上来看,以这个理论是可以解释刺拳的,通过极快的刺拳,像机关枪一样,形成一块区域的压强梯度,将敌人吸附过来。
但是漩涡重拳是不一样的,虽然在通信设备上拳师在施放漩涡重拳时会看到”拳影”,但这不是因为出拳太快,而是因为出拳太慢,施放漩涡重拳时拳师的出拳速度很慢,你看到的确实就是出拳轨迹。
实际上,漩涡重拳的出拳机理很简单,拳师运行完完整的技能脉络后,深蓝通过拳师的权限,拳师的拳头召唤出短暂的微小黑洞,由于黑洞的物质密度非常的高导致周围的时空严重的扭曲就像是平静的湖面突然出现一个大洞,水只能往里面流。拳师的出拳轨迹是技能脉络的运行前提,通过这种方法漩涡重拳可以吸附敌人。至于为什么拳师的拳头可以在黑洞的作用下完好无损,这大概就像你们天界人的铁膝盖一样,无法解释把。”
“原来如此。果然没成为职业者的我解释技能的形成机理还是太过勉强了。但是老师,我还是想再努力一下,我觉得直接拒绝我无论对于祭司学院还是对于我都太过可惜啦。”冯沫一脸期望的看向面试教官。
看着冯沫一脸期望表情,面试教官叹了口气,缓慢说到:“冯沫,你是天界人吧。你知道天界人和祭司最大的差别吗?”
冯沫若有所失。
“就像你所想的那样,你们天界人一般是不信仰宗教的,而我们祭司,也被称为圣职者,是有信仰的。从一个没有信仰的环境突然跳到一个通过信仰神进阶的环境是很难适应的。我们祭司学院之前招收过你们天界人的学生,但是信仰的冲突让他在祭司学院过得十分痛苦,五年未慢他就退学回到你们天界去了,介于刚进入职业学院的前几年对你们而言是黄金发展阶段,由不得半点马虎,所以我们现在招收天界学生十分小心。即使是这样,你还是想报考祭司学院嘛?”
冯沫陷入了思考,这时,父亲儿时对自己的教导乍现在了心里:“沫沫,你要承认自己的平凡并信任自己的平凡,在你的朋友圈里,大部分人做不到的事你也很难做到,大部分人做得到的事你付出大量的努力也能做到,不要心存侥幸。”
“我考虑一下。”冯沫是这样回复面试教官的。
…………………………我是分割线………………………………
走出祭司学院后,冯沫拨通了父亲冯远的电话。
“爹,我的面试结束了。我想,我还是不报考祭司学院了。我还是低估了祭司职业对信仰的要求,我想我如果去做祭司会很难适应,我还是回咱们那边做Ranger吧。爹你帮我弄个入学资格嘛。”
“行,老爸给你搞定。其实爸爸觉得做突击队员也挺好的,离家也近,也挺帅的,体术也不错,未必就比拳师差啦。”
“爸,你常说选择比努力重要。当前版本来看,拳师是名副其实的强势职业,出拳自带拳气,攻击距离比看起来更远,敌人很难把握准拳师的攻击距离,技能攻击附带大量僵直,很容易平推对手,咏大师就经常在擂台赛上击穿一队的顶尖选手,不能选这个职业,可惜啦。”
“Ranger也不错呀,沫沫不要那么难过,爸爸心疼。”
“唉,爸,我挂啦。”
“好。“